
В 2020 году проведение общего собрания в садоводческом некоммерческом товариществе (СНТ) регулируется положениями Федерального закона №217-ФЗ от 29.07.2017. Для признания решений собрания легитимными необходимо строгое соблюдение установленных процедур, включая порядок созыва, уведомления, оформления протоколов и подсчета голосов.
Инициировать проведение общего собрания вправе председатель правления, ревизионная комиссия либо группа членов СНТ, обладающих не менее чем одной третью голосов от общего количества. Основание и дата собрания должны быть зафиксированы в письменном уведомлении, которое направляется каждому участнику не менее чем за 14 дней до его проведения. Допустимы следующие способы уведомления: вручение лично под подпись, отправка заказным письмом, размещение на официальном сайте СНТ при наличии такого ресурса.
Форма проведения собрания – очная, заочная или очно-заочная. При этом в 2020 году особое значение приобретает заочное голосование, особенно в условиях санитарных ограничений, действовавших в ряде регионов. В случае заочного голосования в повестке должно быть чётко указано, каким способом и до какой даты принимаются заполненные бюллетени. Бюллетени хранятся в СНТ не менее пяти лет, а протокол с итогами голосования подлежит обязательному нотариальному удостоверению при выборе органов управления.
Для кворума необходимо участие лиц, обладающих более чем 50% голосов от общего числа. Если кворум не достигнут, собрание считается несостоявшимся. В таком случае возможно повторное собрание по тому же вопросу не ранее чем через 20 дней. Все принятые решения фиксируются в протоколе, подписываются председателем и секретарём собрания, а также при необходимости заверяются членами счётной комиссии.
Кто вправе инициировать общее собрание в СНТ
Инициировать общее собрание в СНТ может ограниченный круг лиц, прямо указанный в статье 17 Федерального закона № 217-ФЗ от 29.07.2017. Эти положения обязательны к соблюдению независимо от внутреннего устава товарищества.
- Правление СНТ – наиболее частый инициатор. Созыв возможен по решению большинства членов правления, зафиксированному в протоколе заседания.
- Председатель СНТ – может выступать инициатором в случае срочной необходимости, например при необходимости принятия решений, связанных с эксплуатацией общего имущества или неотложными финансовыми вопросами.
- Члены СНТ – инициативу могут проявить не менее чем 1/5 от общего числа участников товарищества. Количество определяется по списку, утверждённому на момент подачи требования. Требование должно быть оформлено письменно, с указанием повестки и предложений по форме проведения.
Если инициативу проявляют члены СНТ, правление обязано в течение 10 дней с момента получения требования начать подготовку к проведению собрания. При уклонении от исполнения этой обязанности, инициаторы вправе провести собрание самостоятельно, соблюдая нормы статьи 181.2 ГК РФ и требования закона № 217-ФЗ.
При подготовке инициативы важно заранее определить форму проведения (очное, заочное, очно-заочное голосование) и подготовить проект повестки с юридически значимыми формулировками вопросов. Это обеспечит юридическую силу принятым решениям.
Как уведомить членов СНТ о дате и повестке собрания

Уведомление членов СНТ о проведении общего собрания должно производиться не позднее чем за 14 дней до даты собрания. Этот срок установлен пунктом 9 статьи 17.1 Федерального закона № 217-ФЗ. Несоблюдение срока может повлечь признание решений собрания недействительными.
Уведомление должно содержать точную дату, время, место проведения собрания, а также исчерпывающий перечень вопросов повестки дня. Недопустимо указывать расплывчатые формулировки – каждый пункт должен быть сформулирован конкретно, чтобы участник мог принять решение о своём участии.
Рекомендуется вручать уведомления под подпись, отправлять заказными письмами с уведомлением о вручении или использовать электронную почту с подтверждением получения, если адрес был заранее согласован. Также допустимо размещение информации на информационных стендах СНТ, при условии, что такая форма уведомления предусмотрена уставом товарищества.
Факт и способ уведомления следует документально зафиксировать: составить реестр рассылки, сохранить почтовые квитанции, распечатки e-mail-уведомлений с отметками о доставке. Это особенно важно в случае возможных споров о легитимности проведённого собрания.
Если инициатор собрания – не правление, а группа членов СНТ, то уведомление они направляют от своего имени, соблюдая все вышеуказанные требования. При этом к уведомлению может прилагаться копия заявления о созыве собрания и список подписей членов, поддержавших инициативу.
Какие документы нужно подготовить до проведения собрания
До проведения общего собрания СНТ необходимо подготовить комплект документов, который обеспечит юридическую силу принятым решениям и исключит претензии со стороны членов товарищества. Прежде всего требуется проект повестки дня. Он должен содержать все вопросы, предлагаемые к обсуждению, в формулировках, пригодных для голосования. Формулировки должны быть точными и не допускать двусмысленного толкования.
Обязательным документом является список членов СНТ с указанием их долей в праве общей собственности на имущество общего пользования. Этот список используется для подсчета кворума и определения результатов голосования. Сведения должны быть актуальными на дату уведомления о собрании.
Также следует подготовить проект решения по каждому вопросу повестки. Эти проекты понадобятся для составления итогового протокола и обеспечат прозрачность процедуры голосования. В случае очного голосования – распечатать бланки решений; при заочном – формы для заполнения каждым участником.
Необходимо заранее составить и утвердить форму протокола собрания. Протокол должен включать сведения о месте и времени проведения, численности участников, повестке, результатах голосования по каждому пункту и лицах, подписавших документ.
Если планируется участие представителей по доверенности, необходимо предусмотреть форму доверенности и проинформировать об этом членов СНТ заранее. Принятые доверенности также включаются в пакет документов собрания.
Для легитимности собрания требуется подготовить проект уведомления, которое будет направлено каждому члену СНТ. Уведомление должно содержать сведения о дате, времени, месте проведения, форме собрания (очная, заочная или смешанная) и повестке дня. К уведомлению прилагаются копии проектов решений и формы голосования при заочной форме участия.
Все документы хранятся в архиве правления и по требованию предоставляются для ознакомления членам СНТ, а при необходимости – в суд или контролирующие органы.
Как правильно оформить повестку дня общего собрания
Повестка дня должна быть оформлена в письменном виде и прилагаться к уведомлению о проведении собрания. Документ подписывается инициатором собрания и должен быть доступен для ознакомления каждому члену СНТ заранее, не менее чем за 14 дней до назначенной даты.
В начале повестки дня указывается полное наименование СНТ, дата и форма проведения собрания – очная, заочная или очно-заочная. Далее следует перечень вопросов, подлежащих рассмотрению, с указанием их конкретной формулировки. Недопустимо включать в повестку размытые или общие формулировки, такие как «разное» или «обсуждение текущих вопросов».
Каждый пункт повестки должен начинаться с глагола действия, например: «Утвердить отчет ревизионной комиссии за 2019 год», «Избрать председателя правления СНТ», «Принять решение о размере членских взносов». Формулировки должны позволять однозначно понять, какое решение будет вынесено на голосование.
Если планируется голосование по уставным вопросам, то необходимо указать ссылку на соответствующий пункт устава или приложить проект изменений. Также следует обозначить, какие из вопросов требуют квалифицированного большинства голосов для принятия решений, в соответствии с уставом СНТ и законом № 217-ФЗ.
При наличии приложений к повестке (например, сметы, проекты решений, предложения от членов товарищества), они указываются в конце документа с обязательной нумерацией и описанием каждого файла. Это исключает возможность последующих споров о полноте предоставленной информации.
Какие правила действуют при очной форме голосования

Очная форма голосования в СНТ применяется, когда члены товарищества лично присутствуют на собрании и принимают решения по повестке дня. Для соблюдения законности процедуры необходимо придерживаться установленных требований.
- Кворум. Очное голосование возможно только при наличии кворума – не менее 50% голосов от общего числа членов СНТ, если иной порог не закреплён в уставе. Подсчёт ведётся по голосам, а не по количеству участников.
- Регистрация участников. До начала собрания проводится обязательная регистрация. Каждый участник должен предъявить документ, удостоверяющий личность, а также документы, подтверждающие право владения участком.
- Ведение протокола. Назначается секретарь, который фиксирует ход собрания и результаты голосования в протоколе. Протокол подписывается председателем и секретарем собрания.
- Порядок голосования. Решения принимаются открытым или тайным голосованием, в зависимости от характера вопроса и положений устава. Способ голосования указывается в протоколе.
- Оформление решений. Каждое принятое решение фиксируется с указанием количества голосов «за», «против» и «воздержался». Результаты заверяются подписями и при необходимости – печатью СНТ.
Важно обеспечить возможность присутствия для всех заинтересованных членов, включая инвалидов и пожилых. Несоблюдение процедур, включая кворум и регистрацию, может привести к признанию решений недействительными.
Как организовать заочное голосование членов СНТ
Для проведения заочного голосования необходимо заранее подготовить полный пакет документов: бюллетени для голосования, форму протокола и уведомление с указанием сроков и порядка голосования.
Уведомление направляется членам СНТ минимум за 10 дней до начала голосования, с обязательным указанием даты и времени окончания приема заполненных бюллетеней.
Бюллетени должны содержать четко сформулированные вопросы с возможными вариантами ответа (например, «за», «против», «воздержался»). Каждый бюллетень подписывается членом СНТ и содержит информацию, позволяющую идентифицировать голосующего.
Для сбора голосов организуется несколько способов: почтовая пересылка, личная передача через доверенных лиц или использование специальных урн в местах сбора.
Важно обеспечить учет всех полученных бюллетеней и проверить соответствие подписей с реестром членов СНТ. Голосование считается состоявшимся при наличии кворума, определенного уставом СНТ.
Результаты голосования подлежат оформлению в протокол, который подписывается счетной комиссией. Итоги сообщаются всем членам СНТ в течение 3 рабочих дней после окончания голосования.
Недопустимо учитывать бюллетени с отсутствующими подписями, с помарками или внесением изменений в формулировки вопросов.
Организация заочного голосования требует строгого соблюдения регламента для исключения спорных ситуаций и подтверждения легитимности решений собрания.
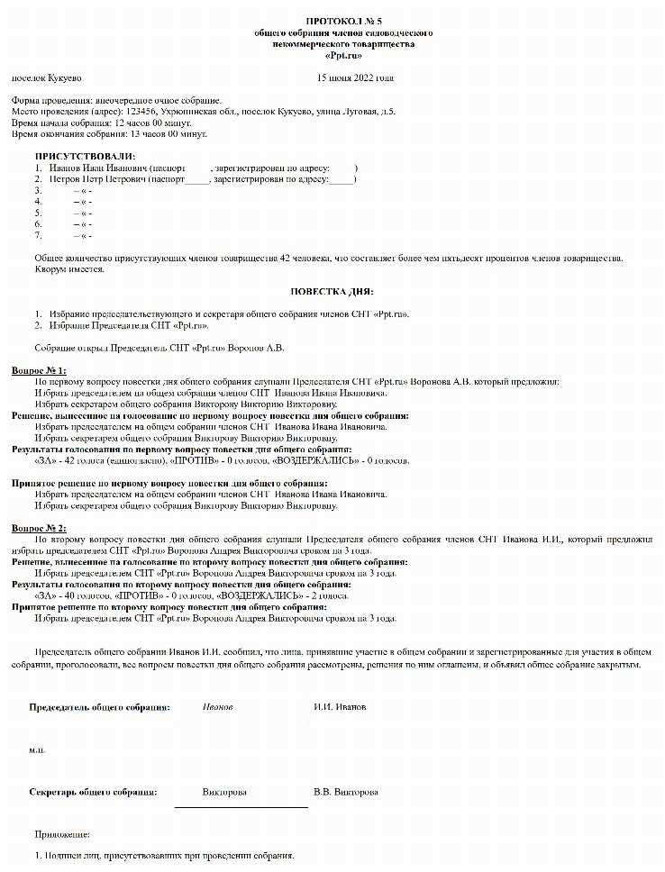
Как вести протокол общего собрания и кто его подписывает

Протокол общего собрания СНТ должен содержать точную дату и место проведения, список присутствующих с указанием количества голосов, а также повестку дня. В протоколе фиксируются все принятые решения с указанием результатов голосования – количество «за», «против» и воздержавшихся.
Протокол ведет секретарь собрания или назначенное лицо, обладающее грамотностью и внимательностью. Важно фиксировать ход обсуждений кратко и по существу, исключая субъективные оценки и комментарии, не влияющие на смысл решений.
После окончания собрания протокол подписывают председатель и секретарь собрания. При наличии – также члены счетной комиссии, если она формировалась для контроля голосования. Подписи подтверждают достоверность изложенного и принятие итогов заседания.
Протокол должен быть оформлен в одном экземпляре и храниться в делах СНТ для возможного последующего ознакомления членов товарищества и проверки законности решений. Рекомендуется вести протокол на стандартных бланках или в электронном формате с возможностью распечатки без изменений.
Как обжаловать итоги собрания при нарушении процедуры

| Основание | Пример нарушения |
|---|---|
| Несоблюдение требований к уведомлению членов СНТ | Отсутствие уведомления в установленный срок или не указана повестка |
| Нарушение порядка голосования | Применение неутверждённых форм бюллетеней, подсчёт голосов с ошибками |
| Отсутствие кворума | Принятие решений при недостаточном количестве участников |
| Нарушение полномочий лиц, ведущих собрание | Отсутствие председателя или секретаря собрания, отсутствие протокола |
Обжалование проводится в судебном порядке. Для подачи иска подготовьте пакет документов:
| Документ | Назначение |
|---|---|
| Протокол собрания | Подтверждение факта и содержания принятых решений |
| Уведомления и повестки | Доказывают соблюдение или нарушение сроков информирования |
| Свидетельские показания участников | Подтверждают нарушения процедуры |
| Копии бюллетеней или других документов по голосованию | Используются для анализа законности подсчёта голосов |
Иск подаётся в районный суд по месту нахождения СНТ в течение трёх месяцев с даты проведения собрания. В заявлении необходимо указать конкретные нарушения и доказательства их наличия.
Суд оценивает факты, проверяет документы и при признании нарушения может отменить решения собрания полностью или частично. Восстановление законности требует повторного проведения собрания с соблюдением всех процедурных норм.
Если нарушения признаны несущественными и не повлияли на итог голосования, суд оставляет решения в силе. Для успешного обжалования важна чёткая фиксация нарушений и подготовка доказательной базы.
Вопрос-ответ:
Какие основные этапы проведения общего собрания СНТ в 2020 году?
Общее собрание в СНТ начинается с предварительного уведомления членов о времени и месте встречи, а также с повесткой дня. Затем происходит регистрация участников и определение кворума. После этого проводят обсуждение вопросов повестки и голосование. Итоги оформляют протоколом, который подписывают председатель и секретарь. Важно соблюдать установленный регламент, чтобы решения были законными и действительными.
Каким образом уведомляются члены СНТ о дате и повестке общего собрания?
Уведомление должно быть направлено не позднее, чем за 10 дней до проведения собрания. Оно может быть сделано письменно, лично в руки, через почту или размещением объявления на информационных стендах СНТ. В уведомлении обязательно указывается дата, время, место проведения, а также точный перечень вопросов, которые будут рассмотрены. Это позволяет членам подготовиться и участвовать в обсуждениях осознанно.
Какие действия предпринять, если при проведении собрания нарушена процедура голосования?
Если процедура голосования не соответствует установленным правилам — например, не обеспечена тайна голосования или кворум был недостаточным — можно оспорить итоги собрания. Для этого необходимо направить жалобу в суд или в орган местного самоуправления с описанием конкретных нарушений. Важно приложить доказательства и ссылаться на устав СНТ и действующее законодательство. До решения вопроса нарушения могут быть признаны недействительными, и собрание потребуется провести повторно.
Кто имеет право инициировать проведение общего собрания в СНТ?
Инициаторами общего собрания могут быть председатель правления СНТ, ревизионная комиссия, не менее 10% членов товарищества, а также уполномоченные органы муниципалитета. Инициатива оформляется в письменном виде с указанием причин проведения собрания и предлагаемых вопросов для повестки. Это помогает обеспечивать участие всех заинтересованных сторон и своевременное решение важных вопросов.
Какие документы необходимо подготовить до начала общего собрания СНТ?
Перед собранием готовят повестку дня, список членов с правом голоса для регистрации, образцы бюллетеней для голосования, а также материалы по вопросам, подлежащим обсуждению (финансовые отчеты, проекты решений и др.). После собрания составляется протокол, отражающий ход заседания и результаты голосования. Правильное оформление документов обеспечивает прозрачность и законность всего процесса.
Как правильно организовать уведомление членов СНТ о предстоящем общем собрании в 2020 году?
Уведомление участников садоводческого некоммерческого товарищества должно быть сделано заблаговременно. Согласно действующим нормам, оповещение должно происходить не менее чем за 10 дней до даты проведения собрания. Информация направляется в письменном виде: это может быть рассылка по почте, размещение объявлений на специально отведённых досках объявлений в СНТ, а также распространение через электронные средства связи, если такая практика предусмотрена уставом товарищества. В уведомлении обязательно указываются дата, время, место собрания, а также подробная повестка дня. Такое информирование помогает обеспечить присутствие большинства участников и легитимность принимаемых решений.
